

InPost kurier do 30kg
od 22,00PLN
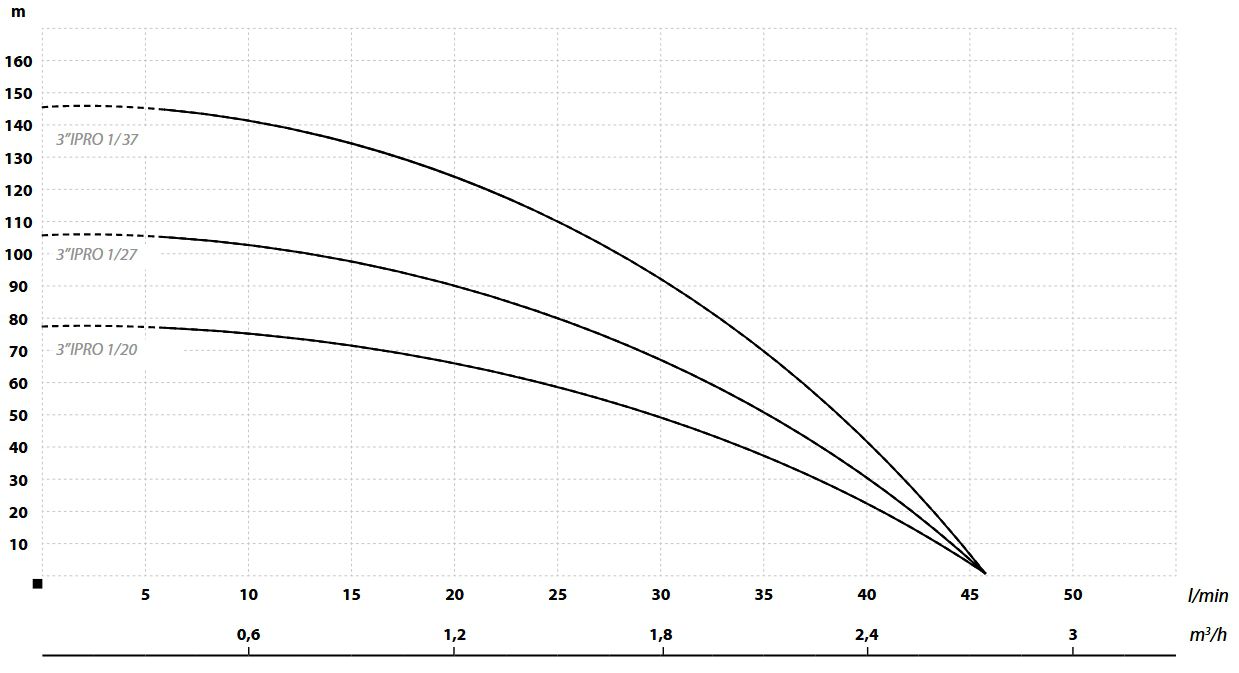
Pompa:
- parametry: wykres
- wydajność: do 46l/min
- wysokość podnoszenia: do 79m
- przyłącze: 1"
- silnik: 230V 0,55kW 4,2A
- przewód: 20m
- korpus ssący i tłoczny, wał, sprzęgło płaszcz hydrauliki i pompy: stal nierdzewna
- dyfuzory: poliwęglan
- wirniki: technopolimer PPO
- łożyska: NSK
- średnica: 75mm
- wysokość: 121cm
- gwarancja: 3 lata
Falownik:
- zasilanie: 1~230V 50Hz
- wyjście: 1~230V 32-50Hz 9,0A
- zabezpieczenia: suchobieg, zwarcie, przeciążenie, spadek napięcia
- IP: 54
- wymiary: 21x18x15cm
- gwarancja: 2 lata
Zbiornik:
- konstrukcja: przeponowy
- montaż: pion lub poziom
- pojemność nominalna: 24L
- wymiary: 50x28x30cm
- gwarancja: 2 lata
Armatura:
- wykonanie: nierdzewne
- zawór zwrotny: tak
- wlot/wylot: 1" lub 1.1/4" lub 1.1/2"
- przyłącze czujnika: 1/4"
- gwarancja: 2 lata
Parametry pomp pochodzą z materiałów opublikowanych przez producenta oraz z wyników pomiarów na stacji prób, którą dysponuje nasz serwis.
Określamy wydajność, wysokość podnoszenia oraz wysokość ssania np. "do 100L/min", "do 5,5bar". Dlaczego? Na tabliczce znamionowej urządzenia znajdują się parametry maksymalne, krańcowe. Przykładowa pompa osiąga 100l/min (przy ciśnieniu 0,0bar) lub 5,5bar (przy wydajności 0,0l/min). Zależność parametrów pomiędzy ich wartościami maksymalnymi należy odczytać z wykresu, stosując uproszczony przelicznik 10m wysokości podnszenia = 1,0bar.
Proszę pamiętać, że na realną wydajność, ciśnienie oraz zdolność ssania pompy wpływają średnice, długości i przebieg rur oraz rodzaj i ilość zainstalowanej armatury (zawory, filtry, ...).


InPost kurier do 30kg
od 22,00PLN